皖南电机百科摘要:本文研究了热轧厂辊道传动形式的分类与比较,以实例讲解了辊道电机选型设计,对降低辊道传动能耗、减少故障时间和维护工作跫、提高设备作业率具有非常重要的意义。
0 引言
在热轧厂,从加热炉到粗轧机、精轧机至卷取机,钢板的输送都是由运输辊道来完成的,只是炉区、粗轧区、精轧区、卷取区各段运输辊道的工作条件及工艺要求不同而已。
对于热连轧厂占总轧线60%以上的辊道来说,采用何种传动形式对降低能耗、减少故障时间和维护工作量、提高设备作业率具有非常重要的意义。
1 辊道传动形式的研究
从目前各热连轧厂的实际应用来看,辊道的传动形式有两种;单独传动和集体传动。本文主要研究单独传动辊道的传动形式及单传辊道电机的选型问题。
单独传动辊道的传动形式有两种:①电机—联轴器—减速机—联轴器—辊子;②电机—联轴器—传动轴—联轴器—辊子或电机—联轴器—辊子。
对于高速转动的辊道,转速r/min,一般釆用后一种传动形式,而不需要减速机。而对于低速转动的辊道,即转速n<400 r/min时,则面临对上述两种传动形式的选择问题。1.1“电机—联轴器—减速机—联轴器—辊子”传动
形式的特点
该形式由于釆用了减速机,因此电机的选型较为简单,一般普通交流异步电机或变频电机极数都能满足其使用要求,由于电机额定频率为50 Hz,电机发热和耗电一般。由于采用了减速机,多了一道故障发生和设备维修的环节,但电机与减速机可制作成一体式的结构,以减少故障的发生和漏油的可能性,并且体积和重量都大大降低。从市场调查来看,进口的电机连减速机一体的设备通常使用寿命在10年以上,在这10年中,减速机不需开盖检修,只需定期加油而而已,设备几乎没有故障。
1.2 “电机—联轴器—传动轴—联轴器—辊子”传动形式的特点
该形式由于没有减速机,减少了一道故障发生和设备维修的环节。但是电机的选型较为复杂,一般多为非标变频电机。因为辊道转速低,而电机一般转速较高,因此需选择变频调速电机,电机极数较多,体积大且重量重,电机额定频率都在50 Hz以下。这种电机在工作时,发热较50 Hz的电机大,功率因数较低,耗电量大,而当电机额定频率低于25 Hz时,还会产生较大谐波。
此外,这种非标电机不仅制造成本较高,而且需选用较大的变频器。变频器的费用较50 Hz的标准变频电机的变频器要高出许多。
2 单传辊道电机的选型设计与应用实例
以某热轧厂单传辊道电机的实际选型为例,来说明上述两种不同传动形式的单传辊道电机的设计选型比较(以下所有数据仅供参考)辊道的基本设计条件如下:板坯宽度1 400 mm,厚度47mm,材料密度7.9×103kg/m3;辊子质量为
1358kg;辊子直径为ψ355.6 mm;辊子线速度为2m/s(107.5 r/min);转子最大间距为125mm;辊道24 h连续运转;环境温度为50 ℃。辊道24h连续运转;环境温度为50℃。

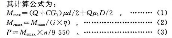
其中,Mmax为电机最大力矩,Nm; P为电机功率,kW; Q为辊子上轧件重量,N; C为1台电机所驱动的辊子数;G为辊子重量,N; μ为辊子轴承中的摩擦系数,取0.005;μ1为辊子在打滑时的摩擦系数,取0.3;D为辊子直径,m;d辊子轴颈的直径,m; η为减速机效率,取0.98; i为减速机传动比,直接单传辊道,取1; n为电机转速,r/min。根据上述基本设计条件可计算出辊子所需最大驱动力矩Mmax = 691. 04 Nm(轧件打滑时)。当电机传动轴和辊子布置在一条直线上时,由于辊子所需额定驱动力矩为42 Nm,远远小于驱动辊子的最大力矩691.04 Nm,为降低电机功率,在设计选型时,将辊子所需最大驱动力矩691.04 Nm作为电机过载2倍时的力矩,由此计算出的电机额定力矩为353 Nm,即 Mmax = 353 Nm,P=3.97kW。当辊道由原集传方式改造为单传方式,由于场地狭小,部分传动轴采用倾斜的布置方式。考虑传动轴的倾斜角度(最大为12°)和其传动效率(η=0. 98),计算得到的最大驱动力矩为M_x = 464 Nm,即辊子所需额定驱动力矩取470 Nm,电机功率为5.3 kW。
此辊道在我们改造前,同类型的单传辊道驱动电机功率一般为28.5 kW,经本文重新设计计算并考虑放大系数后我们选取电机功率为13 kW。
2.1 采用“电机—联轴器—减速机—联轴器—辊子”传动形式
选用进口的电机和减速机一体式的设备。其电机参数如下:电机额定功率为15 kW;电机极数为4级;电机额定转速为1445 r/mm;减速机输出转速为100 r/min;减速机输出扭矩为382 Nm;电机额定电压为400 V;电机额定电流为8.3 A;电机额定频率为50 Hz;电机过载倍数为200% (60s);电机功率因数为0.8;电机效率为86%;电机+减速机外形尺寸为996 mm×351mm×327 mm;电机+减速机质量为74 kg。
变频器SIEMENS—6SE70按支持200%过载60s即电流16 A来选择参数。
2.2 采用“电机—联轴器—传动轴—联轴器—辊子”传动形式
由于辊子所需额定驱动力矩为42 Nm,远远小于驱动辊子的最大力矩691. 04 Nm,为降低电机功率,在设计选型时,将辊子所需最大驱动力矩691. 04 Nm作为电机过载2倍时的力矩,因此电机额定力矩为353 Nm。
电机参数如下:电机额定功率为13 kW;电机极数为10级;电机额定转速为107. 5 r/min;电机额定转矩为364 Nm;电机额定电压为380 V;电机额定电流为13.5 A;电机额定频率为9.6 Hz;电机过载倍数为250%(60s);电机功率因数为0.60;电机效率为77%;电机外形尺寸为990 mm×510mm×650 mm;电机质量为840 kg。
变频器SIEMENS — 6SE70按支持200%过载60s即电流27A来选择参数。
此非标变频电机价格远远高于普通变频电机的价格,且在日常使用中此非标电机发热较大,耗电量较多。
3 结论
在实际生产中,由于辊子所需额定驱动力矩远远小于驱动辊子的最大力,我们在对辊道电机设计选型时,将辊子所需最大驱动力矩作为电机过载2倍时的力矩,结果降低电机功率50%(由原28.5 kW降到13 kW),大大节约了电机和变频器的采购成本和电耗,2006年10月投产使用至今,电机运行良好,无故障。

专注电机制造60年,服务全球制造业